- Stearate series
- · calcium stearate
- · Zinc stearate
- · Magnesium stearate
- · Sodium stearate
- · Potassium stearate
- · Lithium stearate
- · Aluminium stearate
- · Stearic acid
- MCC series
- · MCC CP2010
- · MCC PH101
- · MCC PH102
- · MCC PH105
- · MCC PH103
- · MCC PH112
- · MCC PH113
- · MCC PH200
- · MCC PH301
- · MCC PH302
- Colloid MCC series
- · Colloid MCC
- Acetylacetone salt series
- · Calcium(III) Acetylacetonate
- · Zinc(II) Acetylacetonate
- Oleate series
- · Sodium oleate
- · Potassium oleate
- Laurate series
- · Sodium laurate
- · Zinc laurate
- Myristate series
- · Magnesium myristate
- · Sodium myristate
- Water-based emulsion
- · Water-based zinc stearate em
Detail
Medicinal materials
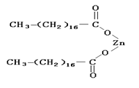
Molecular formula: Zn[CH3(CH2)16COO]2
CAS NO.: 557-05-1
Chemical structural formula:

Main uses
widely used in pharmaceutical field
Quality standard
|
Testing item |
Testing standard |
|
|
Specification |
USP35-NF30 |
BP2013 |
|
identification |
meet the specification |
meet the specification |
|
solubility |
/ |
meet the specification |
|
PH value |
/ |
meet the specification |
|
acid value |
/ |
195-210 |
|
chloride, ppm |
/ |
≤250 |
|
sulfate, % |
/ |
≤0.6 |
|
arsenic, ppm |
≤1.5 |
/ |
|
cadmium, ppm |
/ |
≤5 |
|
lead, ppm |
/ |
≤25 |
|
heavy metal, ppm |
≤10 |
/ |
|
alkaline earth, % |
≤1.0 |
/ |
|
content(in zinc oxide), % |
12.5-14.0 |
/ |
|
content(in zinc), % |
/ |
10.0-12.0 |
Packaging
woven bag lined with high pressure PE film; 20kg/bag or follow customer's packaging instruction
| 【Last】 【Next】 【Return】 |


